Hold down the T key for 3 seconds to activate the audio accessibility mode, at which point you can click the K key to pause and resume audio. Useful for the Check Your Understanding and See Answers.
Torricelli's Theorem
If you’ve ever poked a hole in the side of a cup or container filled with water you’ve probably watched the water come squirting out the side and follow a projectile-like path toward the floor. Maybe you even noticed that the further down the container the hole is located the stronger the jet and the bigger the water’s speed. Your exploration led you to observe what Evangelista Torricelli studied way back in the 1600’s. In fact, in this section, we’ll unpack the physics behind a theorem that bears his name. Torricelli’s Theorem states that the speed of a liquid flowing out of a small hole in a container is the same speed as an object would have if it fell from the same height that the fluid’s surface is above the hole.
In the previous section, we derived Bernoulli's equation and investigated Bernoulli’s principle. While there are many applications of Bernoulli’s equation and principle—several of which we investigate in Applications of Fluid Dynamics — we’ll see in this lesson that Torricelli’s theorem is one such example. And while Torricelli preceded Bernoulli by almost a century, one might say Torricelli’s theorem ‘flows’ directly from Bernoulli’s equation. In light of this, let’s start with Bernoulli's equation and see how this general expression leads us to Torricelli’s theorem.
Let’s consider a container filled with water. A small pipe (called the efflux pipe) on the side of the container is located a distance h below the water line. The water will come squirting out of the pipe with a speed v (sometime called the efflux speed).
Next, let’s consider two points near the fluid. Point 1 is located just outside the efflux pipe. Point 2 is at the top surface of the water. Note that both points are at the same (atmospheric) pressure. In other words, P1 = P2. After writing Bernoulli's equation in its general form, we’ll use this fact to cancel out the pressure terms on each side. Next, noticing that every term has the density of water in it, we can divide each term by ρ. We can also let h = y2 – y1. Assuming the water level drops slowly as it squirts out the pipe, we can say that v2 ≈ 0. Finally, we can solve for v1, the efflux speed.

What’s significant about this expression is that it is the same speed that a dropped object will have after falling a distance h from rest. Using either one of the big four kinematics equations or using conservation of energy we arrive at this same result!

This leads us right back to Torricelli’s theorem which states that the speed at which a fluid flows out of a small hole in a large container of height h, is the same as the speed of an object dropped from that height. We can see that Torricelli’s theorem is indeed just a special case of Bernoulli’s equation.

Let’s use Torricelli’s theorem to work through a couple example problems.
Example 1: Predicting Efflux Speed
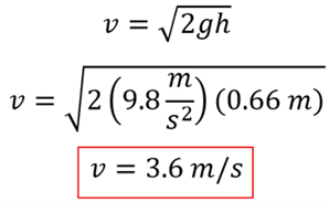
Problem: A container of water is filled to a depth of 66 cm above a small open pipe on the side of the container. At what speed does the water leave the container?
Solution: The efflux speed is 3.6 m/s.

Example 2: Which Lands Further?
Problem: Two students argue about which hole in the side of the container will squirt the water a bigger horizontal distance before hitting the floor. Student 1 says, “The water coming from the top hole will land furthest away since this water is in the air the longest.” Student 2 argues, “The water coming out from the bottom hole lands furthest away since it leaves with the greatest speed.” Who’s correct?
Solution: Either of them could be correct depending on the elevation of the container. Consider water squirting out of the same container from two different elevations. When the container is raised a significant height above the floor, the bottom jet (purple) travels the furthest. When the container is not elevated, the bottom jet (purple) actually travels the least distance horizontally before hitting the ground.
Since Torricelli’s theorem is a direct application of Bernoulli equation, it’s important to remember the assumptions that we’ve made regarding ideal fluids. For our analysis, we’ve assumed ideal conditions such as a non-viscous fluid, an incompressible fluid, and that the speed at which the surface of the fluid drops is negligible. While real fluids are not truly ideal, some fluids--such as water--demonstrate this behavior quite clearly.
Check Your Understanding
Use the following questions to assess your understanding. Tap the Check Answer buttons when ready.
1. A container with an ideal fluid has a small pipe that curves straight upward near its bottom. A student has her finger covering the pipe. When she releases her finger, how high will the jet of water shoot out—above the dotted line, below the dotted line, or to the dotted line?
2. Torricelli's theorem is derived assuming an ideal fluid that is incompressible and non-viscous, with no energy loss due to friction. How would the actual speed of a real fluid flowing from a hole compare to the theoretical speed predicted by the theorem?
3. Torricelli's theorem can be derived from the principle of conservation of energy. In terms of energy transformation, what specific form of energy within the fluid is being converted into the kinetic energy of the emerging stream (efflux speed)?
4. A container 0.82 m tall is filled to the very brim with an ideal fluid. A valve protruding from the side at the bottom of the container is opened.
(A) With what speed does the fluid leave the vale?
(B) Is this speed greater, less, or the same if the fluid is replaced with another ideal fluid with half the density?
5. A very large cylindrical tank with a diameter of 8.0 m is used to hold fuel. Although he cannot see inside, a worker wants to determine the volume of the liquid fuel left in the tank. He opens a value with a small hole at the bottom of the side of the tank and determines its efflux speed to be 9.0 m/s. How many cubic meters of gasoline are in the tank? (Recall that the volume of a cylinder can be found using V = π r2 h.)
Figure 1 Borrowed from Wikimedia Commons (From ZooFari) https://commons.wikimedia.org/wiki/File:Spouting_can_jets.svg under license Creative Commons
Figure 2 Modified from Wikimedia Commons (From MikeRun) https://commons.wikimedia.org/wiki/File:Torricellis-law.svg under license Creative Commons
Figure 3 Modified from Wikimedia Commons (From MikeRun) https://commons.wikimedia.org/wiki/File:Torricellis-law.svg under license Creative Commons
Figure 4 and 5 Modified from Wikimedia Commons https://commons.wikimedia.org/wiki/File:TorricelliLaw.svg
Figure 6 Modified from Wikimedia Commons (From MikeRun) https://commons.wikimedia.org/wiki/File:Torricellis-law.svg under license Creative Commons and https://commons.wikimedia.org/wiki/File:Finger_Pointing-Left-1574437693.svg
Figure 7 Borrowed from Wikimedia Commons https://commons.wikimedia.org/wiki/File:Fuel_and_gas_storage_near_Cairns_Seaport,_northern_Queensland,_Australia_08.jpg