Hold down the T key for 3 seconds to activate the audio accessibility mode, at which point you can click the K key to pause and resume audio. Useful for the Check Your Understanding and See Answers.
Putting it all Together
We’ve already experienced so many parallels between translational (linear) motion and rotational motion. Here is a summary of some of these big ideas from this lesson.
| Translational Motion |
Rotational Motion |
|
Net force
causes
acceleration
|
Net torque
causes
angular acceleration |
A zero net force
results in
equilibrium |
A zero net force
results in
rotational equilibrium |
Inertia
is a tendency to
resist a change
in linear motion |
Rotational Inertia
is a tendency to
resist a change
in rotational motion |
Mass
is how we quantify
Inertia |
Moment of Inertia
is how we quantify
rotational inertia |
We’ve come to the place in our understanding of rotational motion where we get to put all these ideas together. We’ve come to Newton’s Second Law for Rotational Motion.

What this little equation says is that whenever a net torque is applied to an object, it will cause that object to rotate with an angular acceleration. The size of the angular acceleration is determined by the rotational inertia of the rotating object. Like Newton’s Second Law that we encountered for translational motion, this little equation is powerful as it connects the how (angular acceleration) and why (torque) of rotational motion.
What we’ll do in this section is unpack the significance of this relationship and practice using it to analyze several interesting situations. Let’s get started applying Newton’s Second Law for Rotational Motion.
Applying Newton's Second Law for Rotation
As we did when we introduced Newton’s Second Law for translational motion, we will always start a problem involving forces with a force diagram. Here, however, we’ll identify and label all the forces acting on the rotating object. Whereas before we drew all the forces extending from a dot at the object’s center, now it will be essential to draw these diagrams with the tail of the force vector at the location where the force acts on the object. This is necessary to accurately calculate the torque. What is also unique to using the rotational form of Newton’s Second Law is that we must identify our axis of rotation. This is important because any torques, the moment of inertia, and the angular acceleration are determined with respect to this axis. Let’s see how this works with a couple of example problems.
Example 1: Merry-Go-Round
Problem: A playground merry-go-round (mass = 80 kg and radius 2 m) can be approximated as a uniform disk. A child gets the merry-go-round spinning by exerting a constant 30 N force tangent to the rim. What is the angular acceleration of the merry-go-round?
Solution: A top view of the merry-go-round shows how the 30 N applied force exerts a torque on the merry-go-round since it acts perpendicular to the 2 m lever arm, which can be used to calculate the torque (τ = r F sin θ). After finding this torque and determining the moment of inertia of this large disk, and solve for alpha to get an angular acceleration to be 0.4 rad/s2.

Example 2: Acceleration Bigger Than 'g'
Problem: A small hole is drilled through the left end of a meterstick, allowing it to pivot about this end. The stick has mass m and length L. It is released and begins to rotate clockwise.
(A) What is the magnitude of the initial angular acceleration of the stick?
(B) What is the tangential (linear) acceleration of the end of the meterstick furthest from the pivot?

Solution: (a) We begin by making a force diagram for the meterstick. Two forces act on the meterstick: a normal force acts at the pivot, and the force of gravity acts at the stick’s center of mass. If we write the torques about the pivot, the normal force does not cause a torque since it acts at this axis of rotation. The force of gravity, however, does exert a torque on the stick (τ = r F sin θ where r = L / 2, F = m⋅g). This is the net torque which causes the meterstick’s angular acceleration. Using the moment of inertia for a thin rod pivoted about its end, we find the bar’s initial angular acceleration to be a = 3g/2L. (b) Using this value and the link equation that allows us to find the tangential acceleration (a = r a), we get a = 3/2 g. What is interesting about this is that the end of the falling stick accelerates with a value greater than the acceleration due to gravity!

Getting Force Diagrams Right
The key to successfully applying Newton’s Second Law for Rotational Motion is getting the force diagram right. It is essential to draw these diagrams with the tail of the force vector at the location where the force acts on the object. This allows us to determine the lever arm—the vector that points from the axis of rotation to the place where the force acts. Because each force may act at a different place on the object, each force will have its own lever arm.
Consider, for example, a string with a hanging mass on one end and the other end wrapped around a massive cylinder. As the mass falls, a tension force exerts a torque on the cylinder which will make it rotate. Let’s make a force diagram for the cylinder in this situation.

Notice that the force of gravity acts at the center of mass of the cylinder. This will always be the case for our force diagrams. Notice next that the normal force also acts at the center of the cylinder. The reason it acts at the axle here is that this is where the axle is supported. Finally, let’s consider the tension force. Since the string is wrapped around the rim of the cylinder, it will exert a force at a distance r away from the axle. Since strings can only pull along the direction of the string itself, the tension force must act tangent to the cylinder.
The reason it is so important to draw a force diagram with the tail of the force vectors drawn at the location where the forces actually act is that this will allow us to determine which forces contribute to a torque. Notice that since the force of gravity and normal force act at the axle, there is no lever arm for them. That is, there is no distance from the axis of rotation to the place where these forces act. The tension force, however, acts at a distance r away from the axle. It will supply a clockwise torque on the cylinder, causing an angular acceleration in that direction.
An interesting situation that highlights the importance of the force diagram for rotation motion situations is pulling a spool with a string. Let’s apply what we’ve learned as we tackle this example.
Example 3: That's How I Roll
Problem: A cutaway of a spool shows string wrapped around an inner cylinder while being allowed to roll on a pair of thin outer cylinders. As the spool rests on a surface, the string is pulled in three different ways as shown. Predict the direction the spool will accelerate (clockwise or counterclockwise) in each situation.

Solution: Making a force diagram for each situation is key to predicting the direction of the torque and thus the direction of the angular acceleration. In each of these situations, three forces act on the spool: the normal force from the surface, the force of the Earth’s gravity, and the tension from the string. Since the axis of rotation is the point in contact with the surface, the normal force causes NO TORQUE in any of the situations. This occurs since the normal force acts at the axis (r = 0). Similarly, the force of gravity causes NO TORQUE in any of the situations. This occurs because the force of gravity acts along the lever arm from the axis of rotation to the center of mass. Said another way, the angle between the force of gravity and the lever arm is 180o, but since sin(180o) = 0, there is no torque.
Finally, let’s consider the tension force in each situation:

(a) Since the lever arm points from the axis of rotation to the place where the tension force acts, the tension force causes a clockwise rotation and angular acceleration.
(b) Here, the lever arm is much shorter, but the tension still points in a direction causing a clockwise rotation and angular acceleration.
(c) In this case, the lever arm pointing to the place where the tension acts shows that the lever arm and tension are aligned parallel. This means that the tension force does not provide a torque, since sin(0o) = 0. There would be no rotation and no angular acceleration. In this case, the horizontal component of the tension force would merely drag the spool to the right, but it would not rotate in the process.
Rotational Motion Problem Solving
Newton’s Second Law helps us understand why objects change their motion. It helps us understand how forces cause acceleration. The big four kinematics equations help us understand how objects move—they describe how the object speeds up or slows down over time. There is one variable that appears in Newton’s Second Law that also appears in the kinematics equations. This one variable connects forces to the equations of motion. This variable is acceleration. For linear motion, that variable is a; for rotational motion, that variable is 𝛼.
For example, let’s say we know the forces that act on an object, and we want to determine something about its motion. Our strategy is to begin by using Newton’s Second Law to find the object’s acceleration and then, since this acceleration is a key part of our kinematics equations, that acceleration will allow us to solve for an unknown velocity, a displacement, or any other variable in our kinematics equations. If, on the other hand, we know details about how an object is changing its motion and want to determine the force causing this change, we find the acceleration using a kinematics equation and then use Newton’s Second Law to determine the unknown force. Either way, we can think of acceleration as the link that connects forces to our big four kinematics equations that describe motion.
Add to this the link equations that allow us to move between translational (linear) motion and rotational motion, and we can find just about anything related to the how and why of moving objects.

Let’s see how we go about using these relationships to solve problems.
Example 4: Linking it All Together
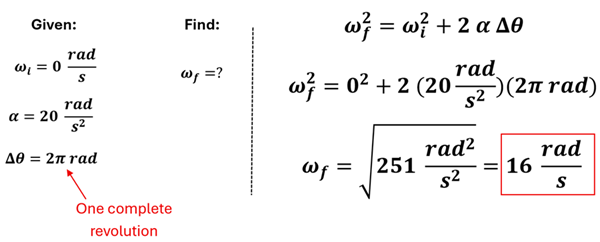
Problem: A falling weight creates an 8 N tension force in a rope. Since the rope is wrapped around a uniform disk (M = 4 kg, R = 0.2 m), it causes it to spin. The disk and weight start from rest, and the disk makes exactly one complete revolution before the weight hits the floor. Find the magnitude of the:
(a) angular acceleration of the disk as the weight falls,
(b) final angular velocity of the disk just before the weight hits the ground,
(c) linear acceleration of the weight as it falls
(d) the mass of the falling weight.

Solution:
(a) Let’s start with a force diagram for the disk. The normal force and force of gravity act at the axis of rotation. As a result, they do not contribute a torque. We see that only the rope’s tension exerts a torque on the disk and is therefore the net torque. Since this is a uniform disk, we also know that the moment of inertia is given by ½ MR2. We can use Newton’s Second Law for Rotational Motion to find the angular acceleration.

(b) Now that we know the angular acceleration, we can use one of the big four kinematics equations for rotational motion to find the magnitude of the final angular velocity of the disk.

(c) Getting the linear acceleration of the falling weight is relatively simple if we recognize that the acceleration of the weight is the same as the tangential acceleration of the string as it unwinds from the rim of the disk. We can use one of the link equations to find it.

(d) Now that we know the linear acceleration, we can use Newton’s Second Law for linear motion to find the mass of the falling weight. We’ll make a force diagram for the falling weight to help us determine what the net force will be. Remember that if the weight is applying an 8 N tension force downwards on the disk, then there is an equal and opposite 8 N tension force is pulling up on the weight, so the net force will be the force caused by gravity (down) minus the force caused by tension (up). We’ll also add a coordinate system, calling the direction the weight accelerates as the +y-direction.

Whew! That was quite the problem. It may be helpful to see how we navigated the linking diagram (below) as we tackled this one. This problem illustrates how many tools we already have in our problem solving toolchest.
Think we’ve exhausted our study of rotational motion? Or is there a rotational counterpart to energy and momentum as well as to the kinematics equations and force connections that we have uncovered so far? There is…and that is where we’ll go in the final two lessons of this chapter.
We Would Like to Suggest ...
Check Your Undestanding
Use the following questions to assess your understanding. Tap the Check Answer buttons when ready.
1: Two disks (one with a larger radius and one with a smaller radius) are welded together and supported by an axle through their centers. A large weight is attached to a string wrapped around the rim of the larger disk. A small weight is attached to another string that is wrapped around the rim of the smaller disk. Which force diagram best shows the direction and location of forces acting on the disk?


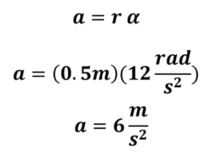
2: A motor applies a counterclockwise torque of 12 N·m to get a uniform disk rotating about an axle through its center. A constant 2 N·m frictional torque acts in the clockwise direction. Consider the counterclockwise direction to be the positive direction. If the disk has a mass of 3 kg and a radius of 0.3 m, what is the angular acceleration of the disk...
(A) While the motor is running.
(B) When the motor is turned off.
3: You pull a string wrapped around a spool in the direction shown. Which direction (clockwise or counterclockwise) will the spool roll in each of these situations? Sketch a force diagram to help you.

4: A uniform rod (m = 1. 0 kg and L = 1.0 m) pivots about its center. A force of 2 N is applied perpendicular to the right end of the rod.
(A) Find the initial angular acceleration of the rod.
(B) Find the magnitude of the initial linear acceleration of the end of the rod.

Looking for additional practice? Check out the CalcPad for additional practice problems.
The hand in images with hand holding string borrowed from Wikimedia commons (From Oleksandr Panasovskyi) https://commons.wikimedia.org/wiki/File:Icon-right_hand_holding_object-2228964.svg under license Creative Commons